Unit Rate Calculator: An Effortless Approach to Comparative Analysis


In the realm of quantitative computations, unit rates serve as a cornerstone for understanding the relationship between two variables. By establishing a common base for comparison, unit rates facilitate informed decision-making and precise evaluations. Whether you're calculating the cost per item, speed per hour, or any other value, a unit rate calculator can be an invaluable tool in your arsenal. Envision yourself as a savvy shopper, meticulously comparing product prices at the local supermarket.

Read More

Rent Proration Calculator: A Simple Way to Calculate Proportional Rent Payments


Are you moving into or out of a rental property in the middle of the month? If so, you're probably wondering how to calculate your proportional rent payment. Don't worry, we've got you covered! In this article, we'll introduce you to the rent proration calculator, a handy tool that can help you figure out exactly how much rent you owe. A rent proration calculator is an online tool that allows you to quickly and easily calculate your proportional rent payment.

Read More

Loan Approval Calculator: Navigating the Loan Application Process


Are you considering taking out a loan, but are unsure if you qualify? Look no further than our comprehensive loan approval calculator. This user-friendly tool provides valuable insights into your financial standing and helps you determine the likelihood of loan approval. With just a few simple steps, you can gain a clear understanding of your loan prospects and make informed decisions. Our state-of-the-art loan approval calculator is designed to empower you throughout the loan application process.

Read More

Unit Tangent Vector Calculator: An Invaluable Tool for Vector Calculus


In the realm of vector calculus, understanding and manipulating vectors is crucial. Among various vector operations, calculating the unit tangent vector holds significant importance. The unit tangent vector, denoted by T(t), serves as a vital tool for exploring the direction and orientation of a curve. Whether you're a student delving into the world of vector calculus, a researcher seeking to unravel complex mathematical concepts, or a professional utilizing vector calculus in practical applications, having a reliable and efficient unit tangent vector calculator at your disposal can be invaluable.

Read More

Loan to Value Calculator - Understanding Home Equity and Borrowing Power


In the world of real estate, understanding the loan to value (LTV) ratio is a crucial step in making informed financial decisions. A loan to value calculator serves as a powerful tool to help borrowers and homeowners navigate their borrowing options. Get ready to delve into the world of LTV calculations, explore its significance, and discover how it can impact your property and financial goals. Whether you're purchasing your dream home, refinancing an existing mortgage, or seeking equity loans, knowing your LTV opens up a wealth of opportunities.

Read More

Cubic Feet Calculator: A Comprehensive Guide to Measuring Volume


In the realm of construction, logistics, and everyday life, understanding volume is crucial for various purposes. Whether you're estimating the capacity of a container, planning a move, or embarking on a DIY project, determining cubic feet accurately is essential. Enter the cubic feet calculator, a tool designed to make your life easier by simplifying volume calculations. The cubic feet calculator empowers you with the ability to quickly and effortlessly determine the volume of rectangular and cylindrical objects.

Read More

Fish Oil Dosage Calculator for Dogs: Determining the Right Amount


Is your furry friend deserving of fish oil? Your canine companion might benefit greatly from fish oil supplementation, but determining the appropriate dosage can be tricky. This user-friendly fish oil dosage calculator will take the guesswork out of the formula and provide you with a precise recommendation tailored to your dog's individual needs. Fish oil is a rich source of omega-3 fatty acids, which are essential for your dog's overall health and well-being.

Read More

Desmos Graphic Calculator: A Powerful Tool for Math Students and Educators


The Desmos graphic calculator is a free online tool that allows users to graph functions, plot data, and perform a variety of mathematical calculations. It is a powerful tool that can be used by students and educators at all levels to explore and understand mathematical concepts. The Desmos graphic calculator is easy to use and has a user-friendly interface. It is also very versatile and can be used to solve a wide range of mathematical problems.

Read More

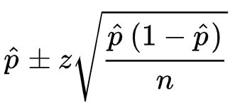
Confidence Interval for a Proportion Calculator: Understanding Sampling and Estimation


In the realm of statistics, the precision and reliability of our estimates are crucial for making informed decisions. When it comes to estimating the proportion of a population with a certain characteristic, a confidence interval for a proportion provides a valuable tool for quantifying the uncertainty associated with our estimate. This calculator serves as a comprehensive guide to understanding and utilizing confidence intervals for proportions. Whether you're a seasoned researcher or a student exploring the fundamentals of statistical inference, this article will equip you with the knowledge and practical steps to calculate and interpret confidence intervals accurately.

Read More

Second Derivative Calculator: A Handy Tool for Mathematical Explorations


In the realm of mathematics, the concept of derivatives plays a pivotal role in understanding the rate of change and various other intricate aspects of functions. Among these, the second derivative holds a special significance, providing valuable insights into the concavity and curvature of a function's graph. To simplify the process of calculating second derivatives, a second derivative calculator emerges as a powerful tool, empowering students, researchers, and professionals to effortlessly navigate the intricacies of mathematical analysis.

Read More